Официальное опубликование правовых актов
ОФИЦИАЛЬНОЕ ОПУБЛИКОВАНИЕ
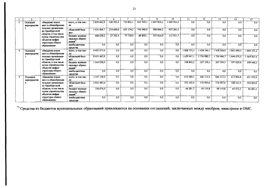
Постановление Правительства Оренбургской области от 04.04.2016 № 241-пп
"Об утверждении государственной программы "Содействие созданию новых мест с целью ликвидации второй смены в общеобразовательных организациях Оренбургской области в соответствии с прогнозируемой потребностью и современными условиями обучения" на 2016–2025 годы"
Номер опубликования: 5600201604110001
Дата опубликования: 11.04.2016
Страница №21 из 78:
Увеличить