Официальное опубликование правовых актов
ОФИЦИАЛЬНОЕ ОПУБЛИКОВАНИЕ
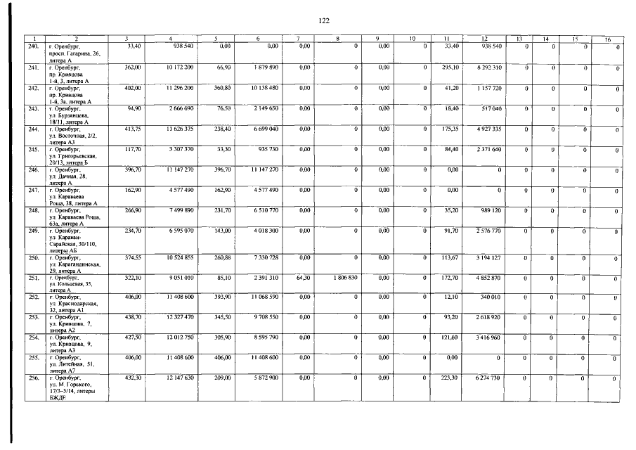
Постановление Правительства Оренбургской области от 25.03.2016 № 199-пп
"О внесении изменений в постановление Правительства Оренбургской области от 15 мая 2013 года № 378-пп"
Номер опубликования: 5600201604010001
Дата опубликования: 01.04.2016
Страница №122 из 166:
Увеличить