Официальное опубликование правовых актов
ОФИЦИАЛЬНОЕ ОПУБЛИКОВАНИЕ
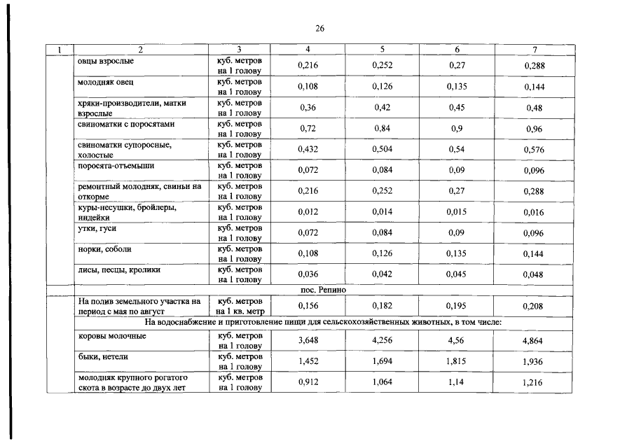
Постановление Правительства Оренбургской области от 06.10.2015 № 778-п
"О внесении изменений в постановление Правительства Оренбургской области от 17 августа 2012 года № 686-п"
Номер опубликования: 5600201510120007
Дата опубликования: 12.10.2015
Страница №26 из 28:
Увеличить