Официальное опубликование правовых актов
ОФИЦИАЛЬНОЕ ОПУБЛИКОВАНИЕ
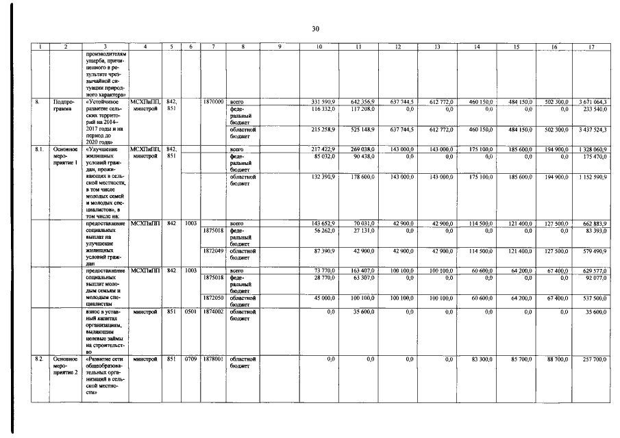
Постановление Правительства Оренбургской области от 02.09.2015 № 655-пп
"О внесении изменений в постановление Правительства Оренбургской области от 31 августа 2012 года № 751-пп"
Номер опубликования: 5600201509080016
Дата опубликования: 08.09.2015
Страница №30 из 33:
Увеличить