Официальное опубликование правовых актов
ОФИЦИАЛЬНОЕ ОПУБЛИКОВАНИЕ
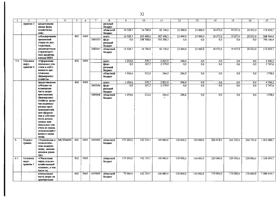
Постановление Правительства Оренбургской области от 24.08.2015 № 643-пп
"О внесении изменений в постановление Правительства Оренбургской области от 31 августа 2012 года № 751-пп"
Номер опубликования: 5600201508280001
Дата опубликования: 28.08.2015
Страница №32 из 38:
Увеличить