Официальное опубликование правовых актов
ОФИЦИАЛЬНОЕ ОПУБЛИКОВАНИЕ
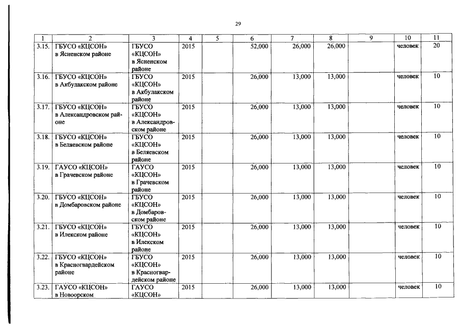
Постановление Правительства Оренбургской области от 23.06.2015 № 489-п
"Об утверждении социальной программы "Укрепление материально-технической базы государственных учреждений социального обслуживания населения Оренбургской области и обучение компьютерной грамотности неработающих пенсионеров в 2015 году"
Номер опубликования: 5600201506300010
Дата опубликования: 30.06.2015
Страница №29 из 34:
Увеличить