Официальное опубликование правовых актов
ОФИЦИАЛЬНОЕ ОПУБЛИКОВАНИЕ
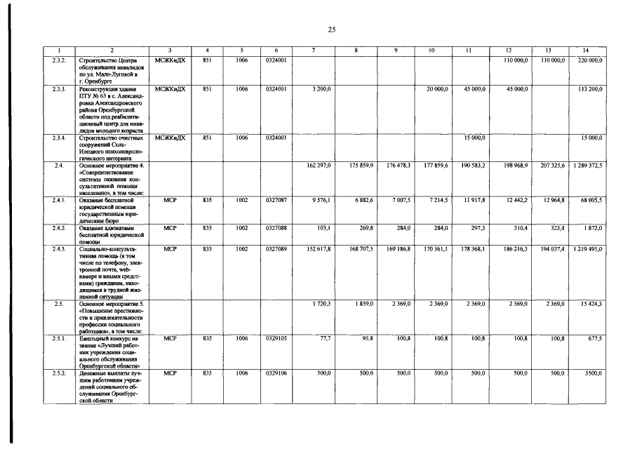
Постановление Правительства Оренбургской области от 22.05.2015 № 390-пп
"О внесении изменений в постановление Правительства Оренбургской области от 30 августа 2013 года № 734-пп"
Номер опубликования: 5600201505280011
Дата опубликования: 28.05.2015
Страница №25 из 33:
Увеличить