Официальное опубликование правовых актов
ОФИЦИАЛЬНОЕ ОПУБЛИКОВАНИЕ
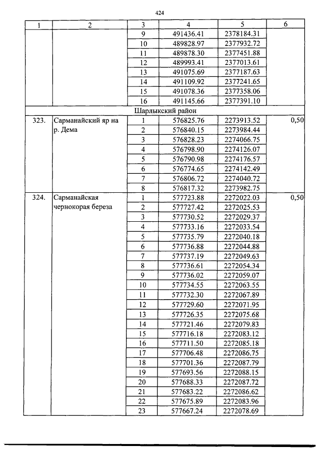
Постановление Правительства Оренбургской области от 25.02.2015 № 121-п
"О памятниках природы областного значения Оренбургской области"
Номер опубликования: 5600201503020013
Дата опубликования: 02.03.2015
Страница №424 из 462:
Увеличить