Официальное опубликование правовых актов
ОФИЦИАЛЬНОЕ ОПУБЛИКОВАНИЕ
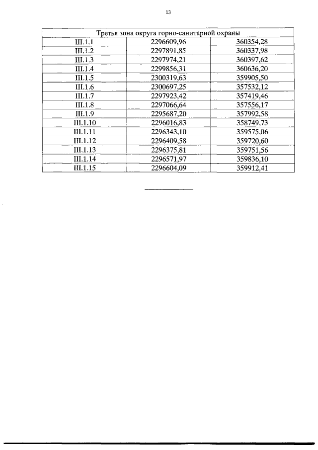
Постановление Правительства Оренбургской области от 02.02.2015 № 51-п
"Об утверждении границ и режимов округа горно-санитарной охраны курорта местного значения "Соленые озера" Соль-Илецкого района Оренбургской области"
Номер опубликования: 5600201502060003
Дата опубликования: 06.02.2015
Страница №13 из 16:
Увеличить