Официальное опубликование правовых актов
ОФИЦИАЛЬНОЕ ОПУБЛИКОВАНИЕ
Приказ Министерства имущественных отношений Омской области от 25.12.2025 № 230-п
"О внесении изменения в приказ Министерства имущественных отношений Омской области от 28 ноября 2025 года № 205-п"
(Зарегистрирован 25.12.2025 № 6995)
Номер опубликования: 5501202512250018
Дата опубликования: 25.12.2025
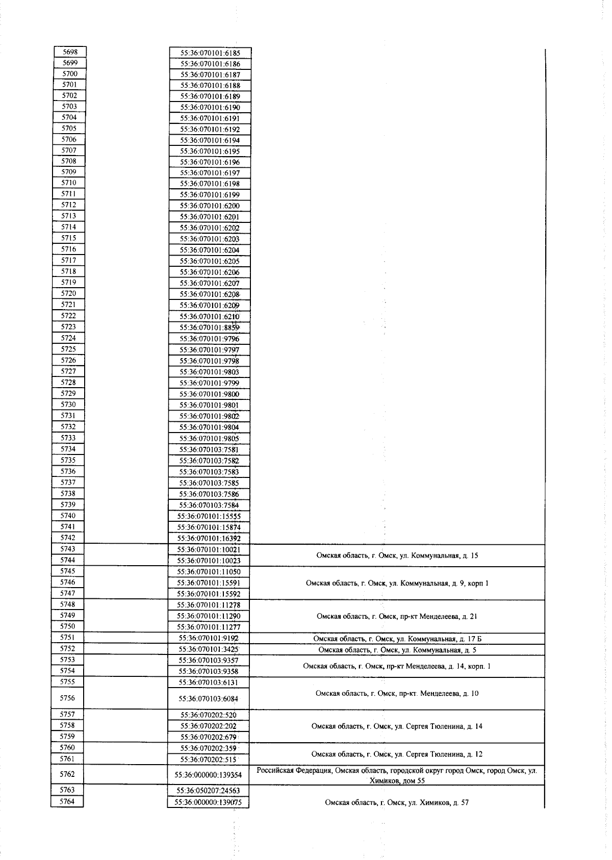
Страница №88 из 218:
Увеличить