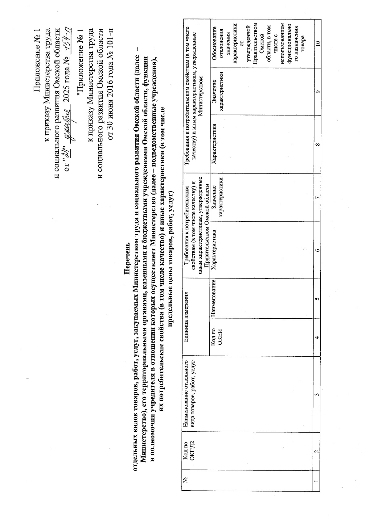
Приказ Министерства труда и социального развития Омской области от 24.12.2025 № 154-п
"О внесении изменений в приказ Министерства труда и социального развития Омской области от 30 июня 2016 года № 101-п"
(Зарегистрирован 24.12.2025 № 6972)
"О внесении изменений в приказ Министерства труда и социального развития Омской области от 30 июня 2016 года № 101-п"
(Зарегистрирован 24.12.2025 № 6972)
Номер опубликования: 5501202512240005
Дата опубликования:
24.12.2025
