Официальное опубликование правовых актов
ОФИЦИАЛЬНОЕ ОПУБЛИКОВАНИЕ
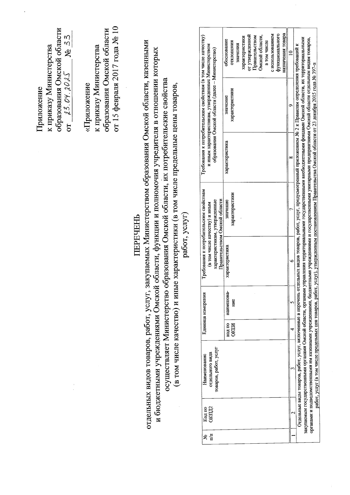
Приказ Министерства образования Омской области от 23.04.2025 № 33
"О внесении изменения в приказ Министерства образования Омской области от 15 февраля 2017 года № 10"
(Зарегистрирован 23.04.2025 № 5292)
Номер опубликования: 5501202504230003
Дата опубликования: 23.04.2025
Страница №2 из 14:
Увеличить