Официальное опубликование правовых актов
ОФИЦИАЛЬНОЕ ОПУБЛИКОВАНИЕ
Приказ Министерства природных ресурсов и экологии Омской области от 19.12.2024 № 96
"О внесении изменений в приказ Министерства природных ресурсов и экологии Омской области от 26 мая 2020 года № 39"
(Зарегистрирован 19.12.2024 № 4425)
Номер опубликования: 5501202412200003
Дата опубликования: 20.12.2024
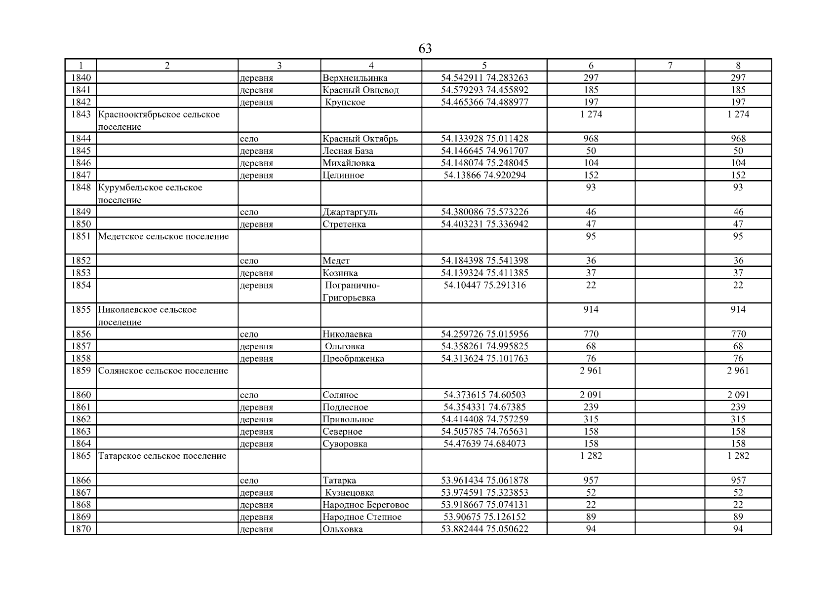
Страница №76 из 2148:
Увеличить