Официальное опубликование правовых актов
ОФИЦИАЛЬНОЕ ОПУБЛИКОВАНИЕ
Приказ Министерства сельского хозяйства и продовольствия Омской области от 08.04.2024 № П-24-20
"О внесении изменений в приказ Министерства сельского хозяйства и продовольствия Омской области от 6 сентября 2021 года № П-21-80"
(Зарегистрирован 08.04.2024 № 2954)
Номер опубликования: 5501202404090001
Дата опубликования: 09.04.2024
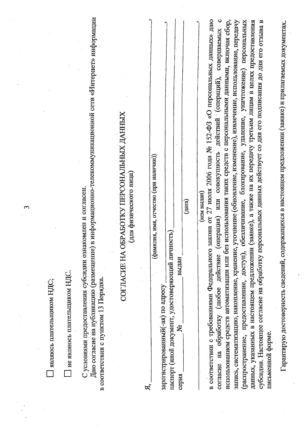
Страница №15 из 23:
Увеличить