Приказ Региональной энергетической комиссии Омской области от 15.12.2023 № 413/82
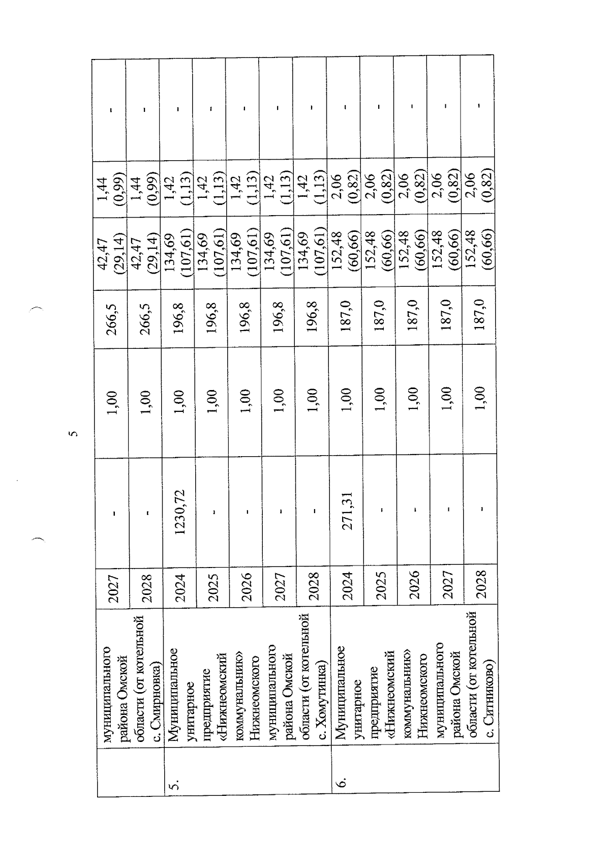
"Об установлении тарифов на тепловую энергию, поставляемую потребителям Муниципального унитарного предприятия "Нижнеомский коммунальник" Нижнеомского муниципального района Омской области, на 2024-2028 годы"
(Зарегистрирован 16.12.2023 № 2176)
"Об установлении тарифов на тепловую энергию, поставляемую потребителям Муниципального унитарного предприятия "Нижнеомский коммунальник" Нижнеомского муниципального района Омской области, на 2024-2028 годы"
(Зарегистрирован 16.12.2023 № 2176)
Номер опубликования: 5501202312200002
Дата опубликования:
20.12.2023
