Официальное опубликование правовых актов
ОФИЦИАЛЬНОЕ ОПУБЛИКОВАНИЕ
Приказ Министерства имущественных отношений Омской области от 06.12.2023 № 192-п
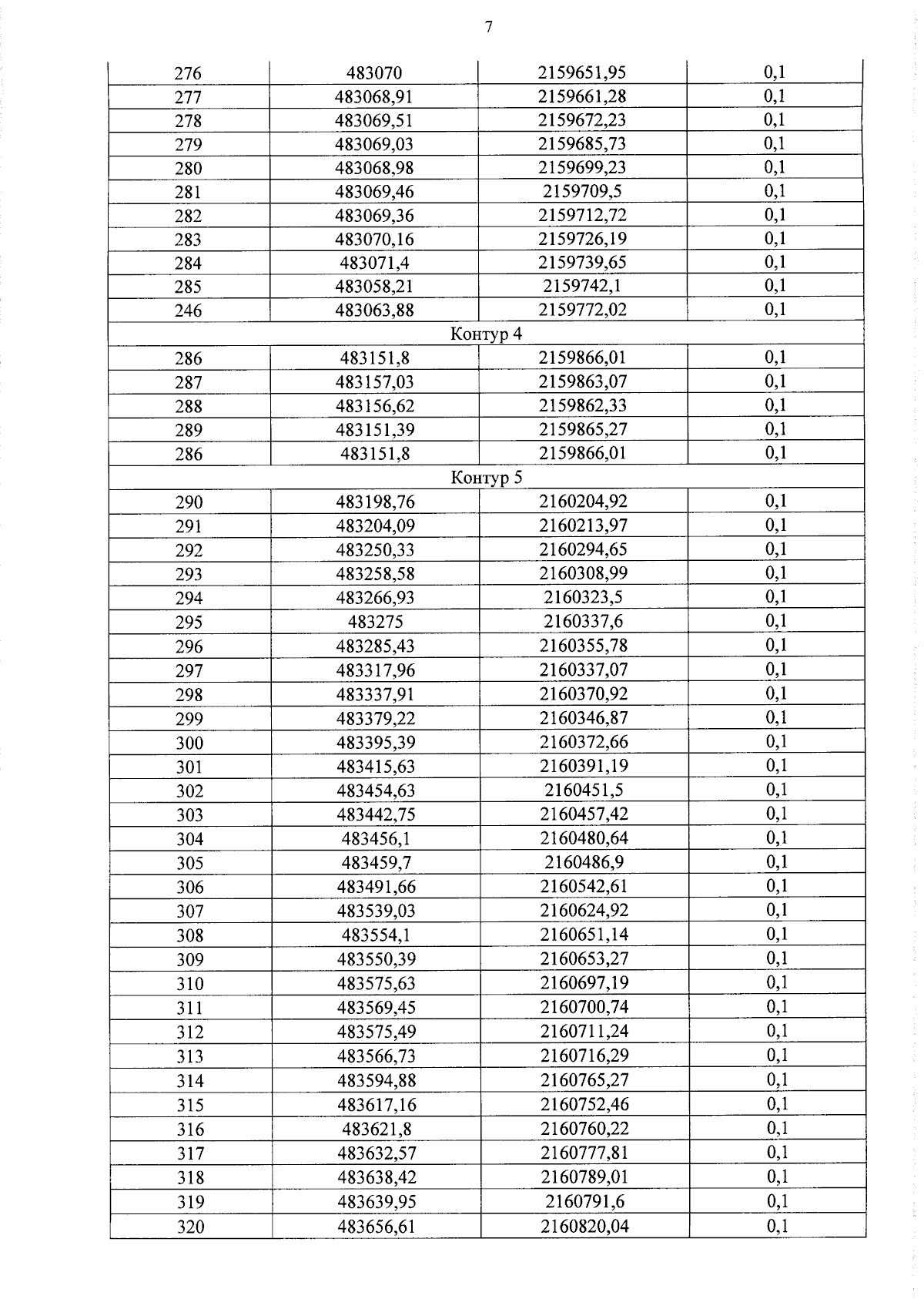
"О резервировании земель для государственных нужд Омской области в границах муниципального образования городской округ город Омск Омской области в целях размещения объектов Омского метрополитена"
(Зарегистрирован 06.12.2023 № 2046)
Номер опубликования: 5501202312060003
Дата опубликования: 06.12.2023
Страница №9 из 15:
Увеличить