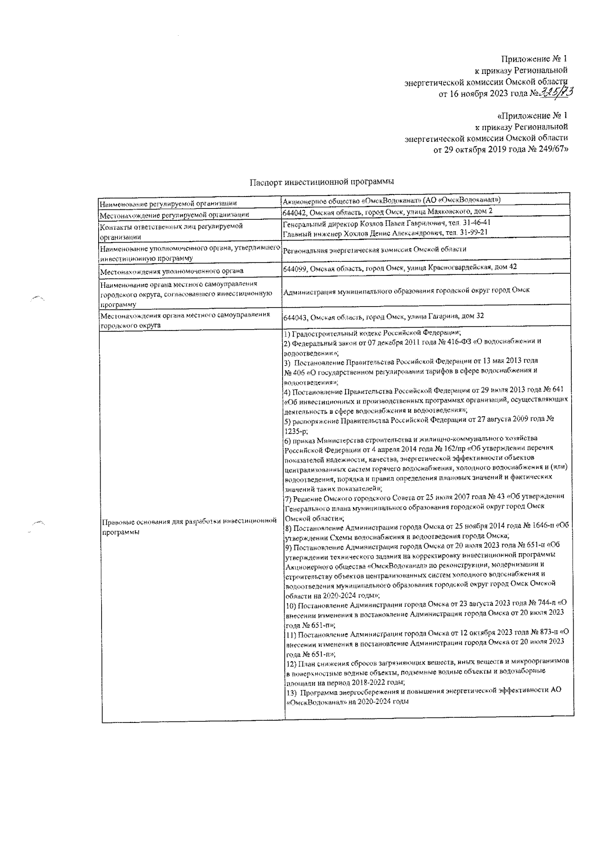
Приказ Региональной энергетической комиссии Омской области от 16.11.2023 № 325/73
"О внесении изменений в приказ Региональной энергетической комиссии Омской области от 29 октября 2019 года № 249/67"
(Зарегистрирован 20.11.2023 № 1932)
"О внесении изменений в приказ Региональной энергетической комиссии Омской области от 29 октября 2019 года № 249/67"
(Зарегистрирован 20.11.2023 № 1932)
Номер опубликования: 5501202311210005
Дата опубликования:
21.11.2023
