Официальное опубликование правовых актов
ОФИЦИАЛЬНОЕ ОПУБЛИКОВАНИЕ
Приказ Министерства строительства Омской области от 13.11.2023 № 84-п
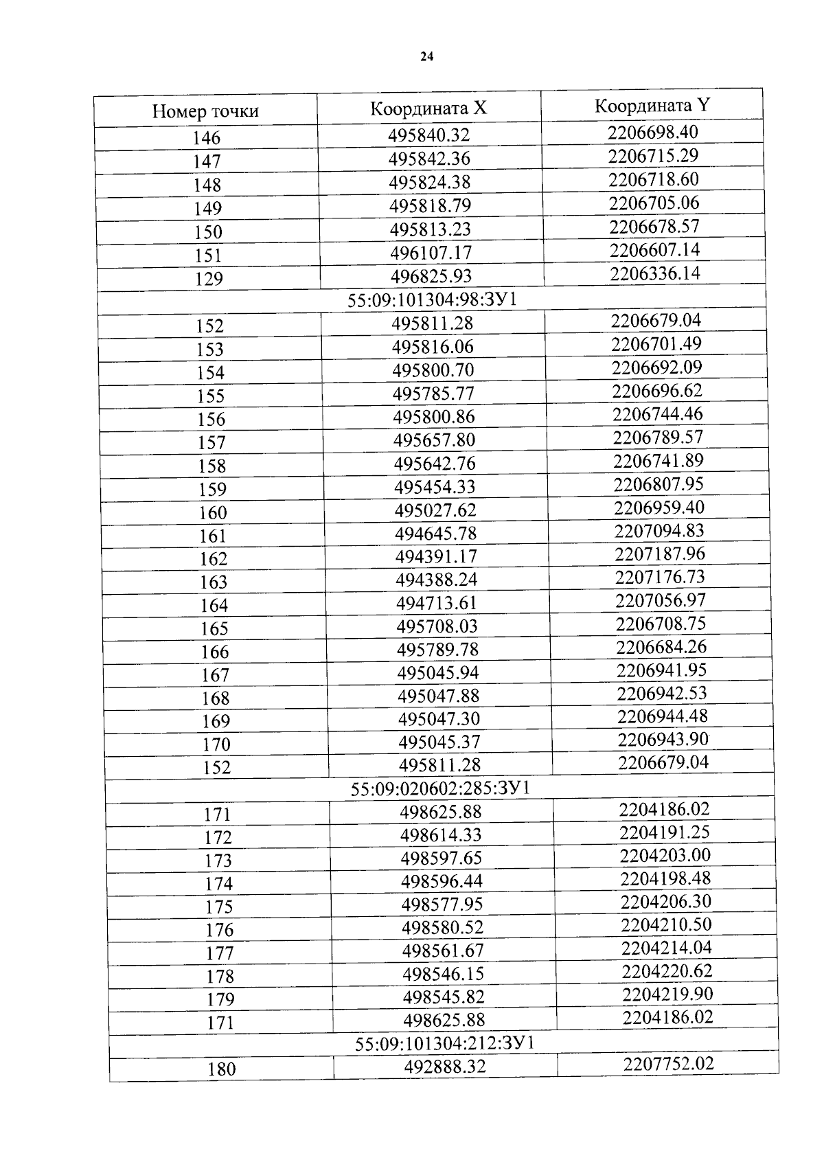
"Об утверждении проекта планировки, проекта межевания территории линейного объекта регионального значения "Реконструкция автомобильной дороги Кормиловка - Михеевка - Егорьевка, участок км 6+900 - км 14+800 в Кормиловском муниципальном районе Омской области"
(Зарегистрирован 13.11.2023 № 1889)
Номер опубликования: 5501202311150006
Дата опубликования: 15.11.2023
Страница №62 из 79:
Увеличить