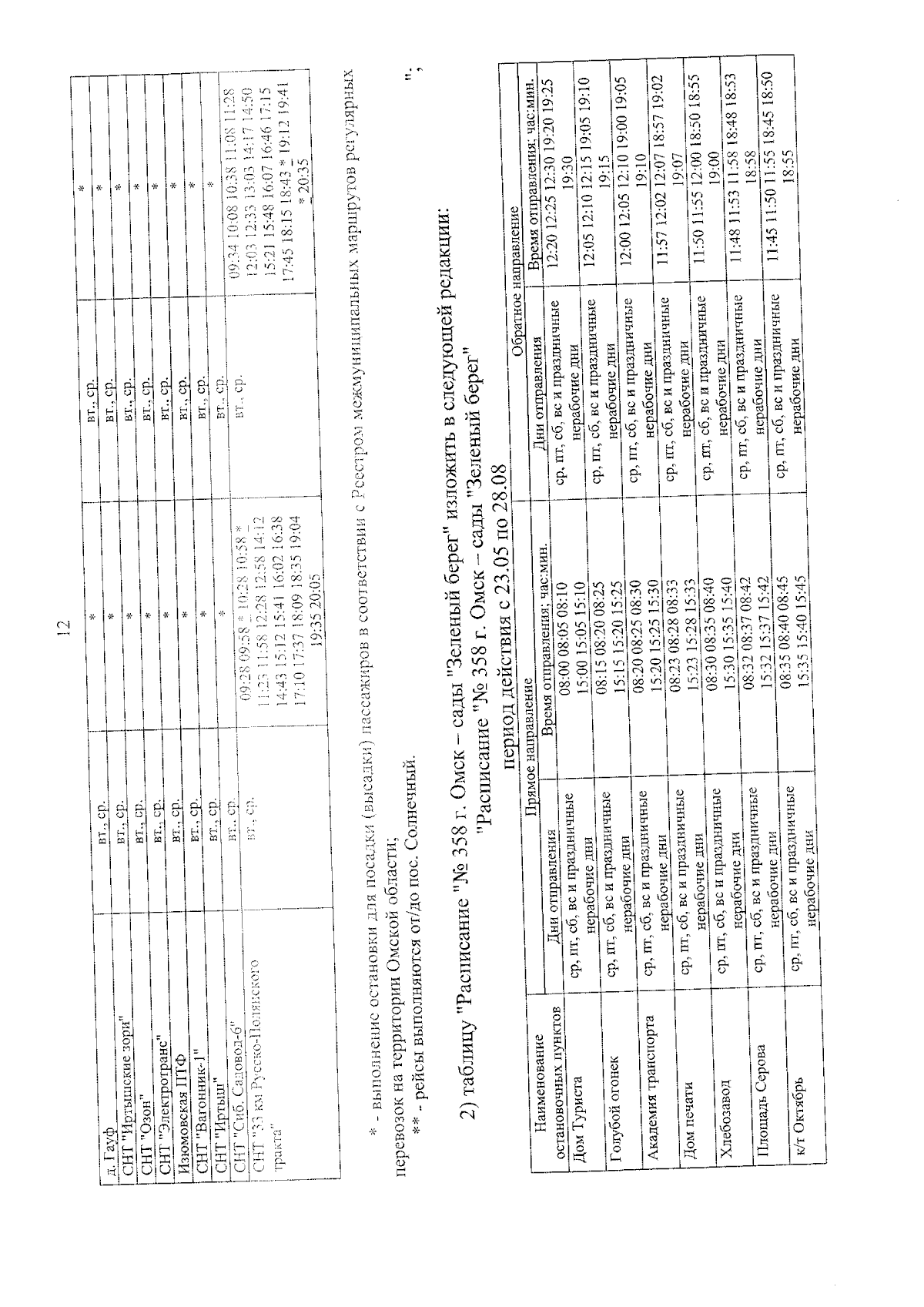
Приказ Министерства транспорта и дорожного хозяйства Омской области от 20.10.2023 № 87-п
"О внесении изменений в приказ Министерства транспорта и дорожного хозяйства Омской области от 14 июня 2022 года № 23-п"
(Зарегистрирован 20.10.2023 № 1699)
"О внесении изменений в приказ Министерства транспорта и дорожного хозяйства Омской области от 14 июня 2022 года № 23-п"
(Зарегистрирован 20.10.2023 № 1699)
Номер опубликования: 5501202310230003
Дата опубликования:
23.10.2023
