Официальное опубликование правовых актов
ОФИЦИАЛЬНОЕ ОПУБЛИКОВАНИЕ
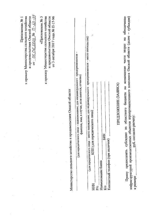
Приказ Министерства сельского хозяйства и продовольствия Омской области от 05.06.2023 № П-23-39
"О внесении изменений в приказ Министерства сельского хозяйства и продовольствия Омской области от 3 октября 2017 года № П-17-96"
(Зарегистрирован 05.06.2023 № 962)
Номер опубликования: 5501202306070003
Дата опубликования: 07.06.2023
Страница №3 из 18:
Увеличить