Официальное опубликование правовых актов
ОФИЦИАЛЬНОЕ ОПУБЛИКОВАНИЕ
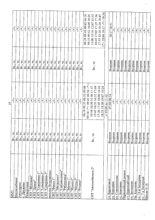
Приказ Министерства транспорта и дорожного хозяйства Омской области от 26.05.2023 № 49-п
"О внесении изменений в приказ Министерства транспорта и дорожного хозяйства Омской области от 14 июня 2022 года № 23-п"
(Зарегистрирован 29.05.2023 № 882)
Номер опубликования: 5501202305290007
Дата опубликования: 29.05.2023
Страница №26 из 32:
Увеличить