Официальное опубликование правовых актов
ОФИЦИАЛЬНОЕ ОПУБЛИКОВАНИЕ
Приказ Министерства финансов Омской области от 15.05.2023 № 43
"О внесении изменений в приказ Министерства финансов Омской области от 22 декабря 2017 года № 74"
(Зарегистрирован 15.05.2023 № 805)
Номер опубликования: 5501202305160005
Дата опубликования: 16.05.2023
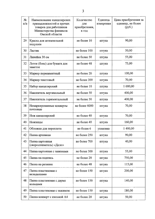
Страница №3 из 10:
Увеличить