Официальное опубликование правовых актов
ОФИЦИАЛЬНОЕ ОПУБЛИКОВАНИЕ
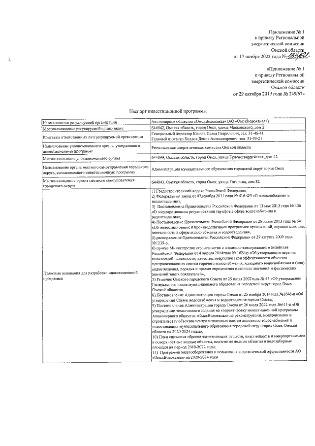
Приказ Региональной энергетической комиссии Омской области от 17.11.2022 № 333/62
"О внесении изменений в приказ Региональной энергетической комиссии Омской области от 29 октября 2019 года № 249/67"
Номер опубликования: 5501202211250012
Дата опубликования: 25.11.2022
Страница №2 из 18:
Увеличить