Официальное опубликование правовых актов
ОФИЦИАЛЬНОЕ ОПУБЛИКОВАНИЕ
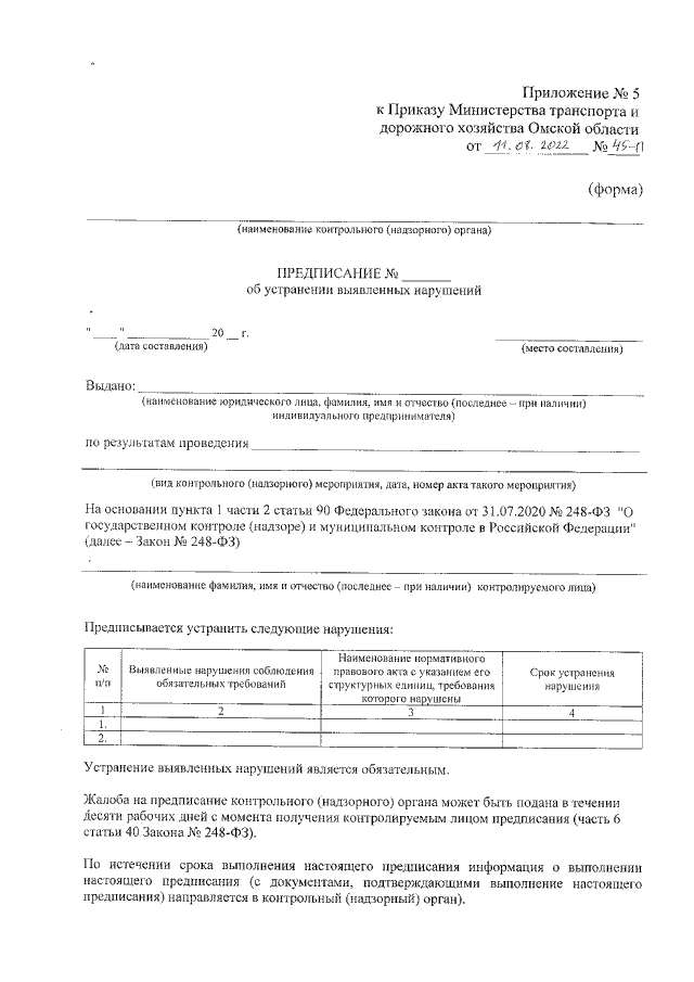
Приказ Министерства транспорта и дорожного хозяйства Омской области от 11.08.2022 № 45-п
"Об утверждении форм документов, используемых Министерством транспорта и дорожного хозяйства Омской области при осуществлении регионального государственного контроля (надзора) на автомобильном транспорте, городском наземном электрическом транспорте и в дорожном хозяйстве и регионального государственного контроля (надзора) в сфере перевозок пассажиров и багажа легковым такси на территории Омской области"
Номер опубликования: 5501202208150001
Дата опубликования: 15.08.2022
Страница №9 из 14:
Увеличить