Официальное опубликование правовых актов
ОФИЦИАЛЬНОЕ ОПУБЛИКОВАНИЕ
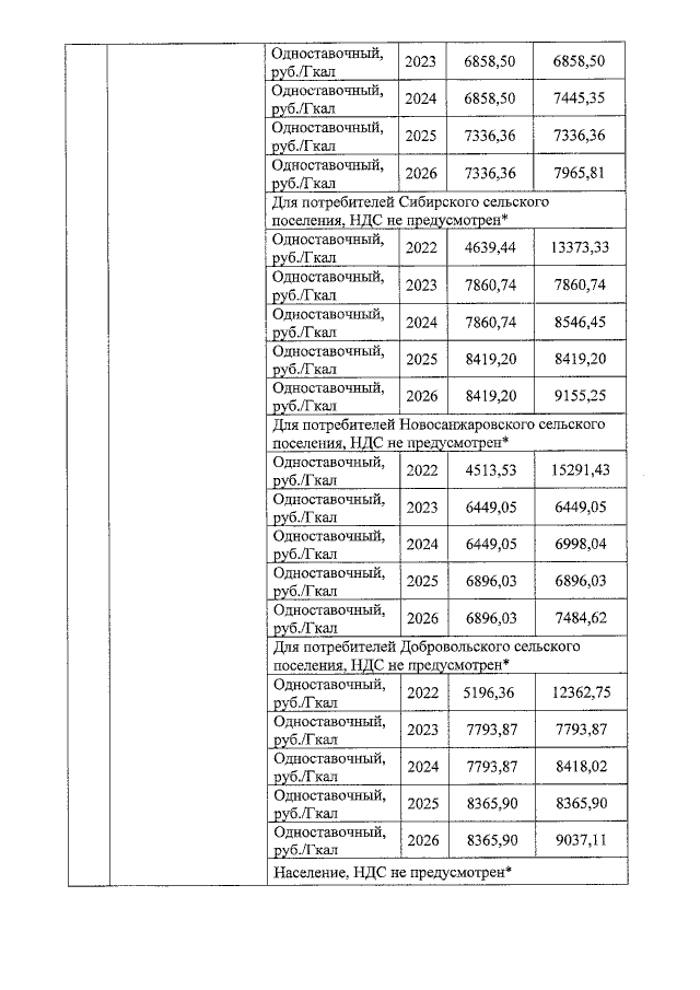
Приказ Региональной энергетической комиссии Омской области от 07.12.2021 № 495/89
"Об установлении тарифов на тепловую энергию для потребителей Муниципального унитарного предприятия Русско-Полянского муниципального района Омской области "Тепловик"
Номер опубликования: 5501202112100007
Дата опубликования: 10.12.2021
Страница №10 из 11:
Увеличить