Официальное опубликование правовых актов
ОФИЦИАЛЬНОЕ ОПУБЛИКОВАНИЕ
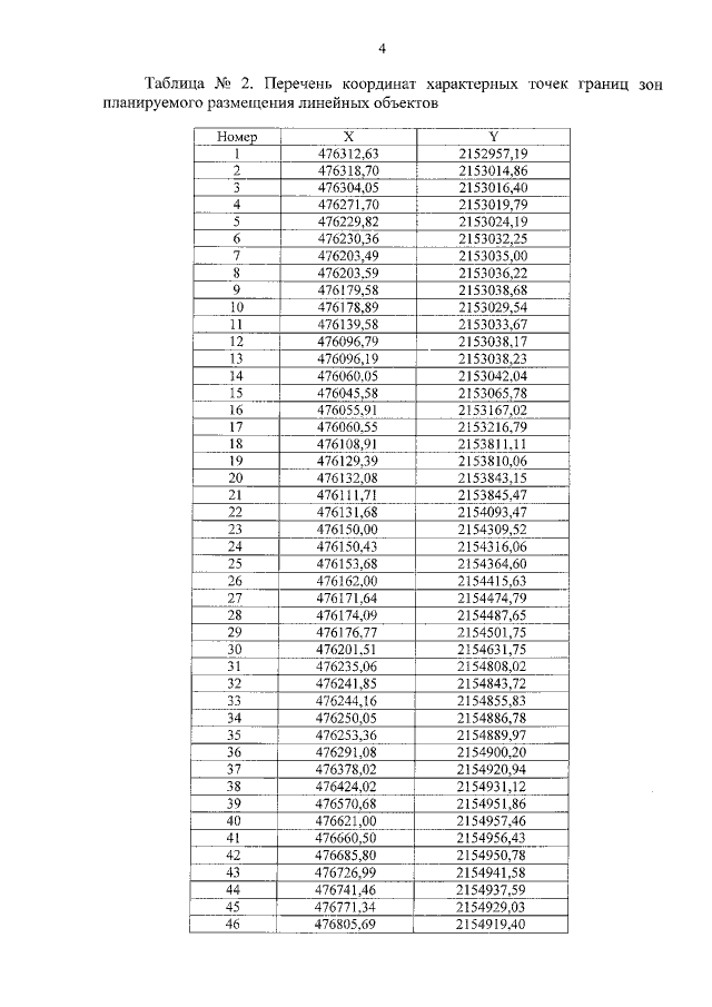
Приказ Министерства строительства, транспорта и дорожного хозяйства Омской области от 09.07.2021 № 72-п
"О внесении изменений в приказ Министерства строительства и жилищно-коммунального комплекса Омской области от 29 мая 2019 года № 30-п"
Номер опубликования: 5501202107130009
Дата опубликования: 13.07.2021
Страница №5 из 63:
Увеличить