Официальное опубликование правовых актов
ОФИЦИАЛЬНОЕ ОПУБЛИКОВАНИЕ
Приказ Министерства сельского хозяйства и продовольствия Омской области от 04.06.2021 № П-21-62
"О внесении изменений в приказ Министерства сельского хозяйства и продовольствия Омской области от 14 августа 2014 года № П-14-52"
Номер опубликования: 5501202106070010
Дата опубликования: 07.06.2021
Страница №15 из 16:
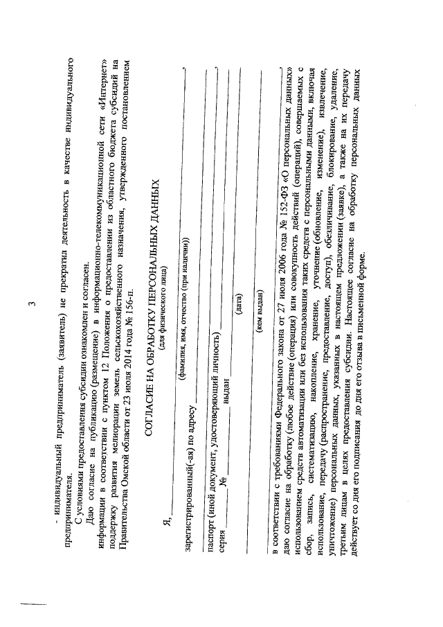
Увеличить