Официальное опубликование правовых актов
ОФИЦИАЛЬНОЕ ОПУБЛИКОВАНИЕ
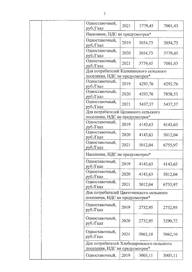
Приказ Региональной энергетической комиссии Омской области от 08.12.2020 № 388/83
"О корректировке тарифов на 2021 год на тепловую энергию для потребителей Муниципального унитарного предприятия Русско-Полянского муниципального района Омской области "Тепловик"
Номер опубликования: 5501202012100020
Дата опубликования: 10.12.2020
Страница №3 из 4:
Увеличить