Официальное опубликование правовых актов
ОФИЦИАЛЬНОЕ ОПУБЛИКОВАНИЕ
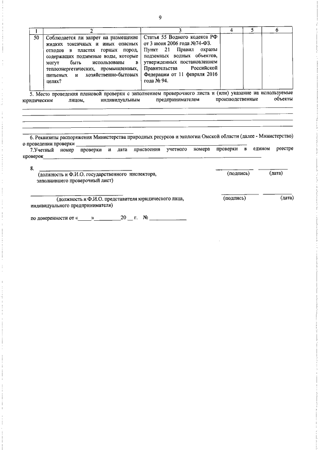
Приказ Министерства природных ресурсов и экологии Омской области от 01.04.2019 № 27
"Об утверждении форм проверочных листов (списков контрольных вопросов) для использования при проведении плановых проверок в рамках регионального государственного экологического надзора, осуществляемого на территории Омской области"
Номер опубликования: 5501201904030001
Дата опубликования: 03.04.2019
Страница №30 из 34:
Увеличить