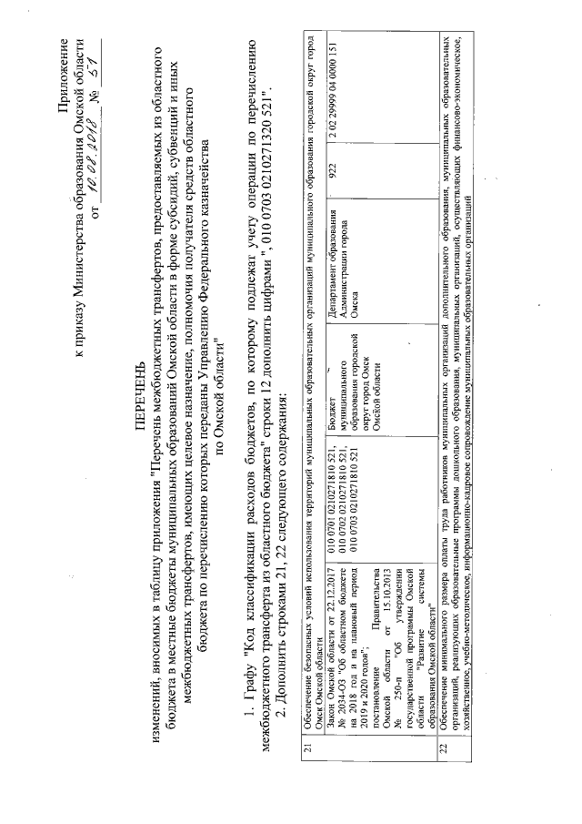
Приказ Министерства образования Омской области от 10.08.2018 № 51
"О внесении изменений в отдельные приказы Министерства образования Омской области"
"О внесении изменений в отдельные приказы Министерства образования Омской области"
Номер опубликования: 5501201808130006
Дата опубликования:
13.08.2018
