Официальное опубликование правовых актов
ОФИЦИАЛЬНОЕ ОПУБЛИКОВАНИЕ
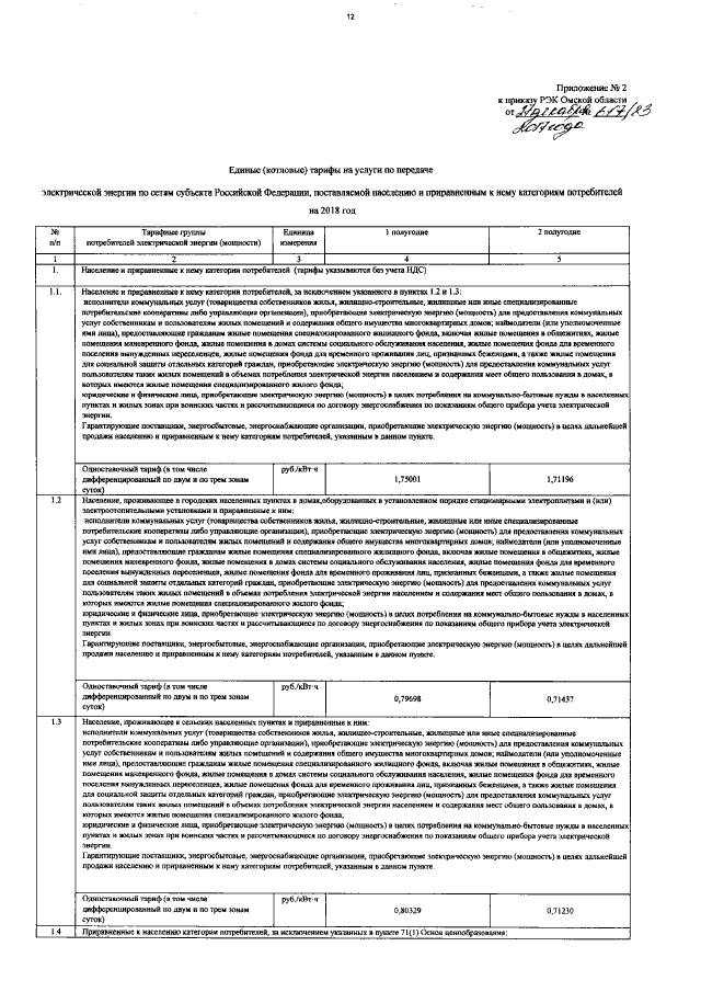
Приказ Региональной энергетической комиссии Омской области от 27.12.2017 № 617/83
"Об установлении единых (котловых) тарифов на услуги по передаче электрической энергии по электрическим сетям Омской области на 2018 год"
Номер опубликования: 5501201712290023
Дата опубликования: 29.12.2017
Страница №12 из 13:
Увеличить