Приказ Региональной энергетической комиссии Омской области от 09.11.2017 № 261/66
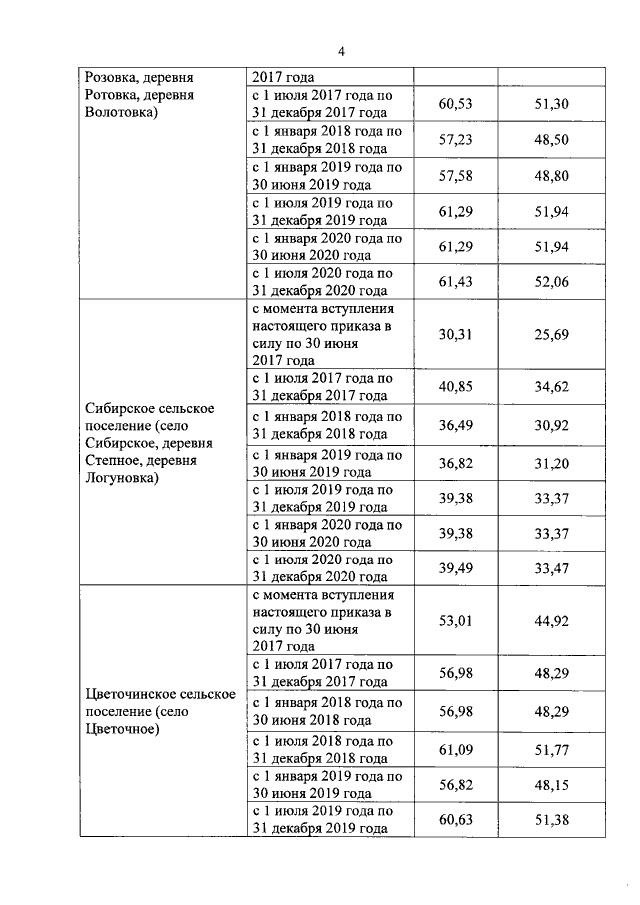
"О корректировке на 2018 год тарифов на питьевую и техническую воду для потребителей Общества с ограниченной ответственностью "Коммунсервис", Русско-Полянский муниципальный район Омской области, установленных на долгосрочный период регулирования"
"О корректировке на 2018 год тарифов на питьевую и техническую воду для потребителей Общества с ограниченной ответственностью "Коммунсервис", Русско-Полянский муниципальный район Омской области, установленных на долгосрочный период регулирования"
Номер опубликования: 5501201711140013
Дата опубликования:
14.11.2017
