Официальное опубликование правовых актов
ОФИЦИАЛЬНОЕ ОПУБЛИКОВАНИЕ
Приказ Министерства труда и социального развития Омской области от 01.02.2016 № 16-п
"О внесении изменений в отдельные приказы Министерства труда и социального развития Омской области"
Номер опубликования: 5501201602010002
Дата опубликования: 01.02.2016
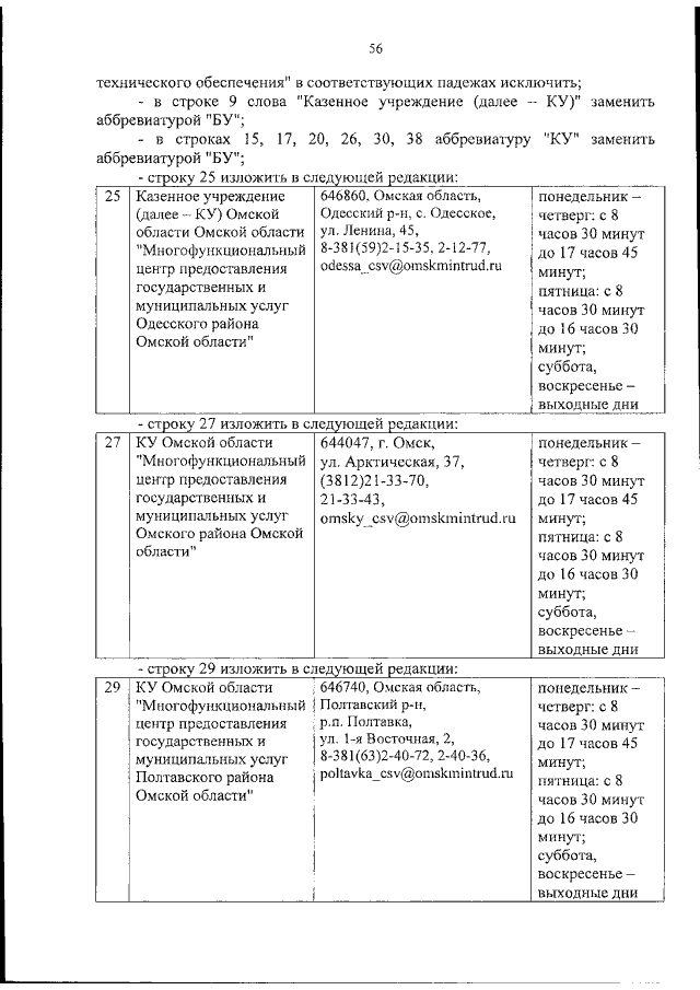
Страница №56 из 68:
Увеличить