Официальное опубликование правовых актов
ОФИЦИАЛЬНОЕ ОПУБЛИКОВАНИЕ
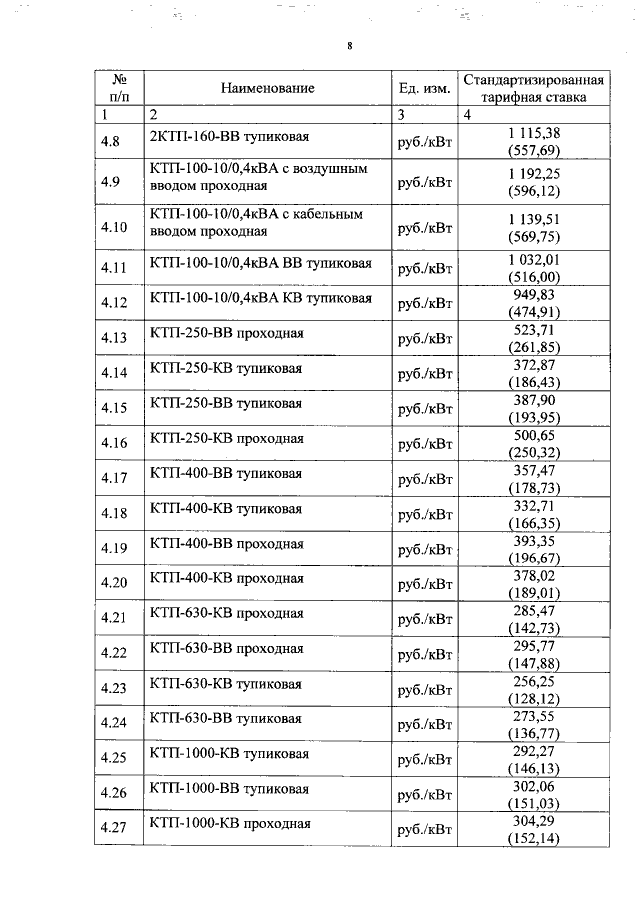
Приказ Региональной энергетической комиссии Омской области от 29.12.2015 № 866/81
"Об установлении ставок платы за технологическое присоединение к электрическим сетям Открытого акционерного общества "Омский аэропорт"
Номер опубликования: 5501201512310025
Дата опубликования: 31.12.2015
Страница №8 из 17:
Увеличить