Официальное опубликование правовых актов
ОФИЦИАЛЬНОЕ ОПУБЛИКОВАНИЕ
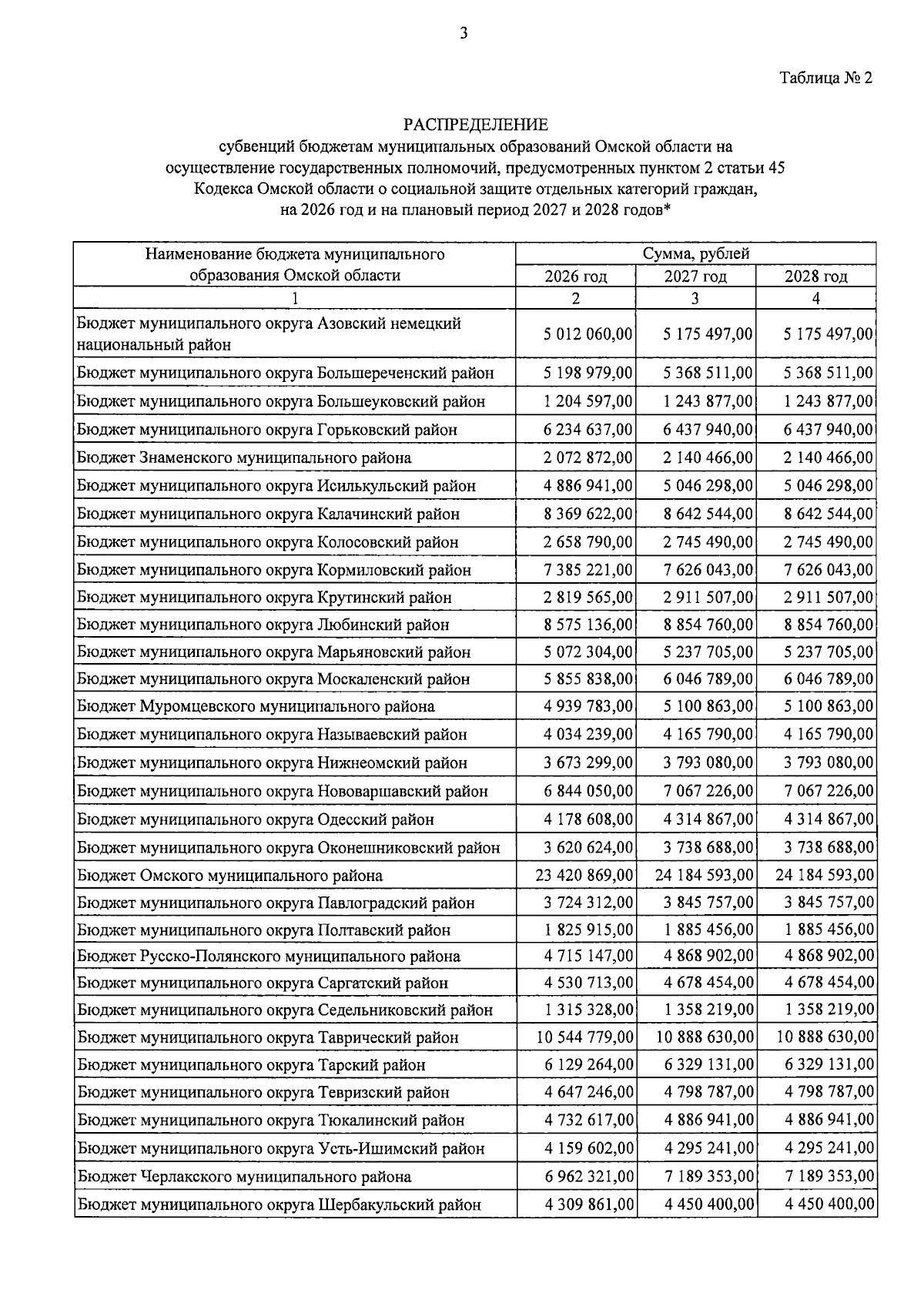
Закон Омской области от 18.12.2025 № 2908-ОЗ
"Об областном бюджете на 2026 год и на плановый период 2027 и 2028 годов"
Номер опубликования: 5500202512230001
Дата опубликования: 23.12.2025
Страница №366 из 397:
Увеличить