Официальное опубликование правовых актов
ОФИЦИАЛЬНОЕ ОПУБЛИКОВАНИЕ
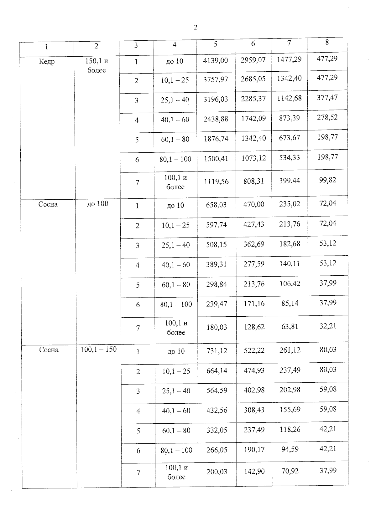
Постановление Правительства Омской области от 19.12.2025 № 682-п
"О внесении изменения в постановление Правительства Омской области от 27 марта 2008 года № 34-п"
Номер опубликования: 5500202512220024
Дата опубликования: 22.12.2025
Страница №3 из 9:
Увеличить