Официальное опубликование правовых актов
ОФИЦИАЛЬНОЕ ОПУБЛИКОВАНИЕ
Указ Губернатора Омской области от 14.08.2025 № 166
"Об утверждении Схемы размещения, использования и охраны охотничьих угодий на территории Омской области"
Номер опубликования: 5500202508150020
Дата опубликования: 15.08.2025
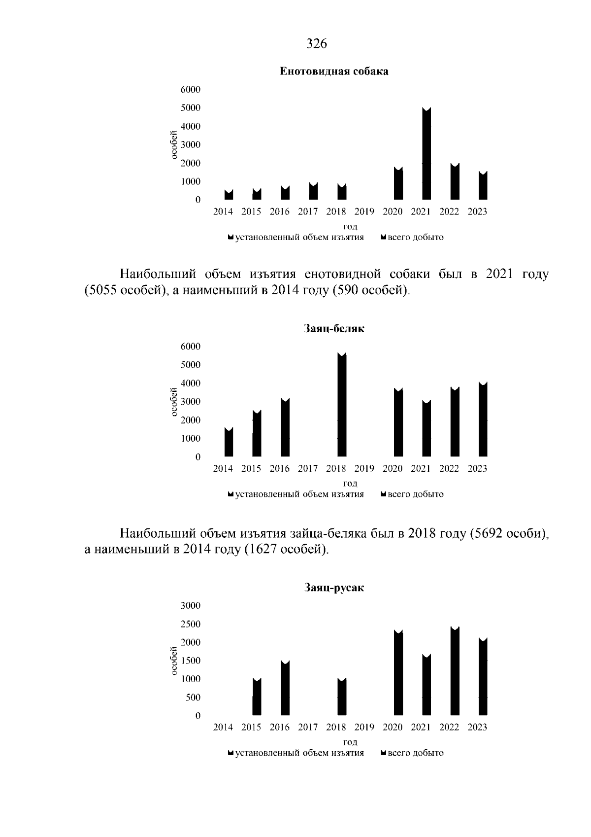
Страница №327 из 11968:
Увеличить