Официальное опубликование правовых актов
ОФИЦИАЛЬНОЕ ОПУБЛИКОВАНИЕ
Закон Омской области от 20.03.2025 № 2812-ОЗ
"О внесении изменений в Закон Омской области "Об областном бюджете на 2025 год и на плановый период 2026 и 2027 годов"
Номер опубликования: 5500202503200006
Дата опубликования: 20.03.2025
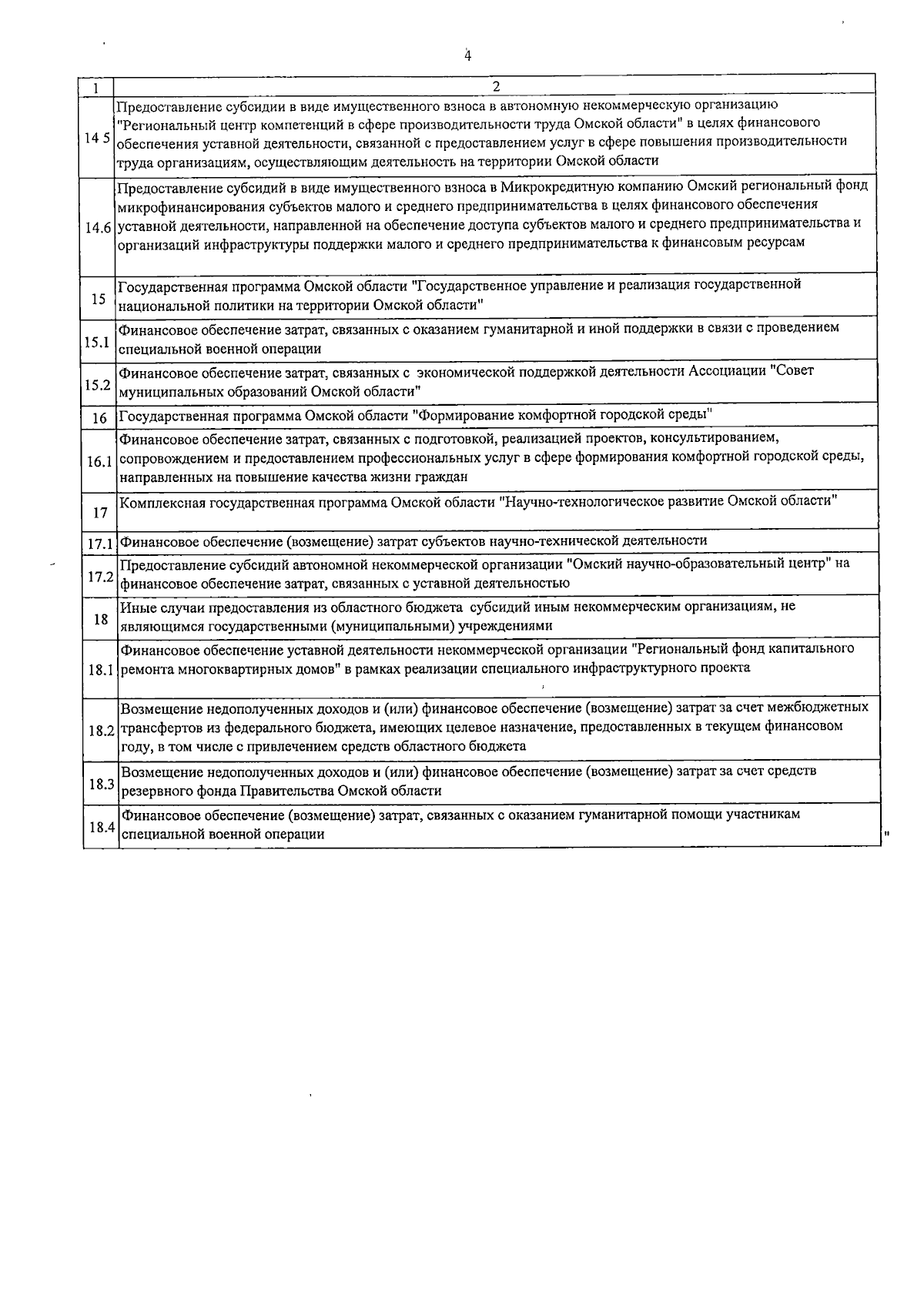
Страница №338 из 381:
Увеличить