Официальное опубликование правовых актов
ОФИЦИАЛЬНОЕ ОПУБЛИКОВАНИЕ
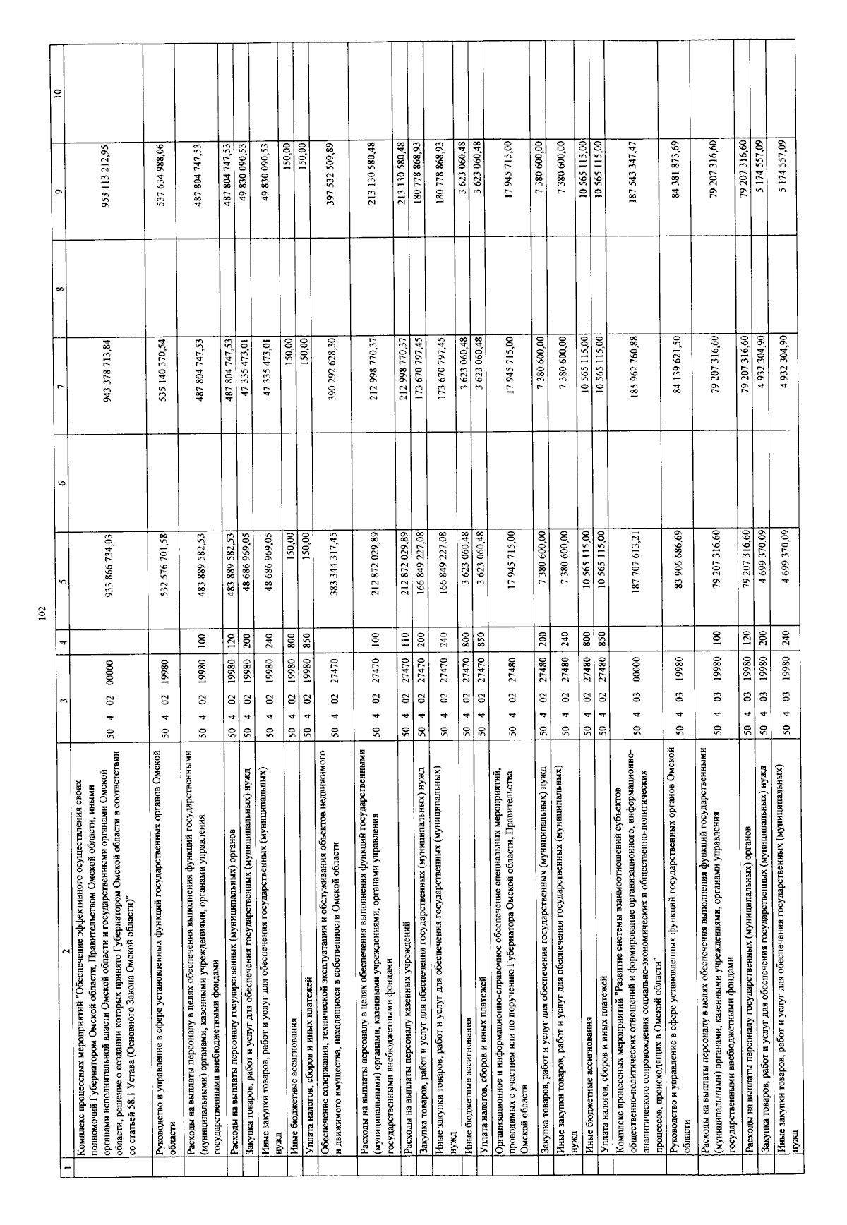
Закон Омской области от 21.12.2023 № 2650-ОЗ
"Об областном бюджете на 2024 год и на плановый период 2025 и 2026 годов"
Номер опубликования: 5500202312210008
Дата опубликования: 21.12.2023
Страница №351 из 404:
Увеличить