Официальное опубликование правовых актов
ОФИЦИАЛЬНОЕ ОПУБЛИКОВАНИЕ
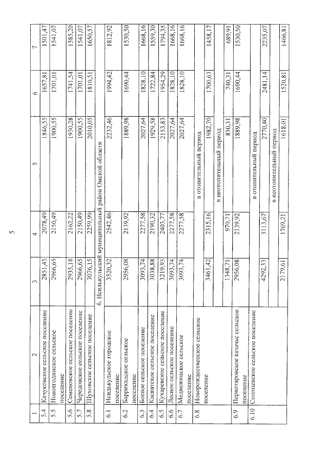
Постановление Правительства Омской области от 08.02.2023 № 37-п
"Об установлении размеров региональных стандартов стоимости жилищно-коммунальных услуг на 2023 год"
Номер опубликования: 5500202302090007
Дата опубликования: 09.02.2023
Страница №46 из 76:
Увеличить