Официальное опубликование правовых актов
ОФИЦИАЛЬНОЕ ОПУБЛИКОВАНИЕ
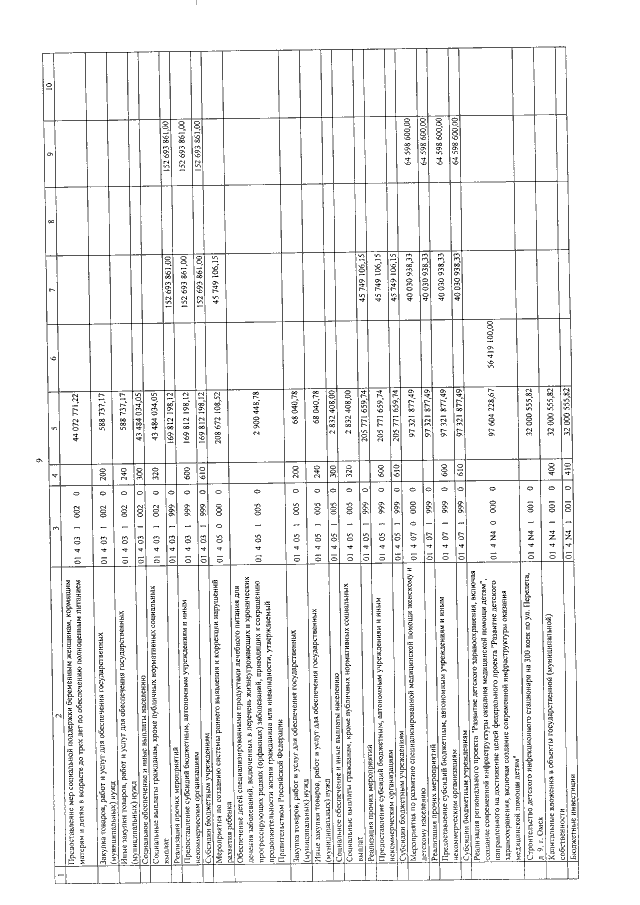
Закон Омской области от 18.02.2022 № 2466-ОЗ
"О внесении изменений в Закон Омской области "Об областном бюджете на 2021 год и на плановый период 2022 и 2023 годов"
Номер опубликования: 5500202202180002
Дата опубликования: 18.02.2022
Страница №298 из 449:
Увеличить