Официальное опубликование правовых актов
ОФИЦИАЛЬНОЕ ОПУБЛИКОВАНИЕ
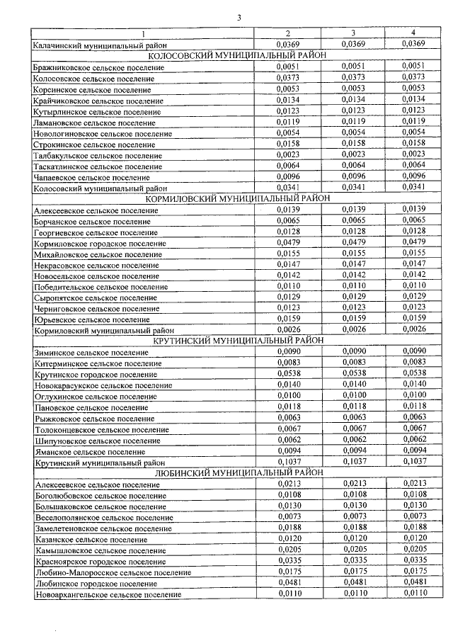
Закон Омской области от 16.12.2021 № 2450-ОЗ
"Об областном бюджете на 2022 год и на плановый период 2023 и 2024 годов"
Номер опубликования: 5500202112160004
Дата опубликования: 16.12.2021
Страница №30 из 414:
Увеличить