Официальное опубликование правовых актов
ОФИЦИАЛЬНОЕ ОПУБЛИКОВАНИЕ
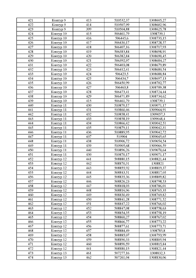
Постановление Правительства Омской области от 23.12.2020 № 575-п
"Об установлении границ лесопаркового зеленого пояса города Омска"
Номер опубликования: 5500202012300004
Дата опубликования: 30.12.2020
Страница №10 из 16250:
Увеличить