Официальное опубликование правовых актов
ОФИЦИАЛЬНОЕ ОПУБЛИКОВАНИЕ
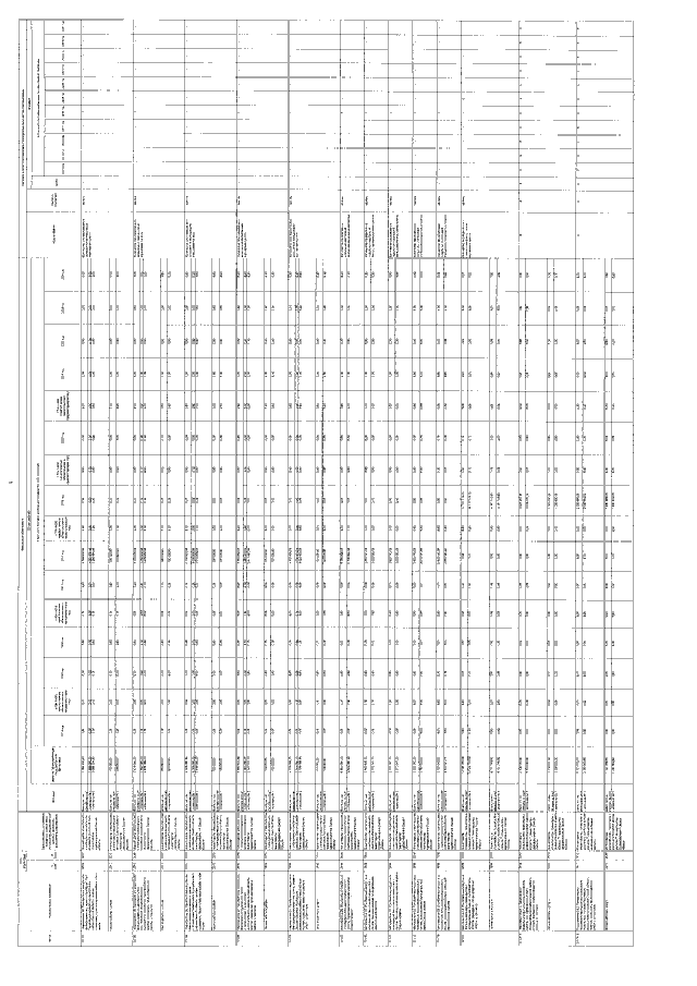
Постановление Правительства Омской области от 10.12.2020 № 525-п
"О внесении изменений в постановление Правительства Омской области от 16 октября 2013 года № 265-п"
Номер опубликования: 5500202012110020
Дата опубликования: 11.12.2020
Страница №12 из 30:
Увеличить