Официальное опубликование правовых актов
ОФИЦИАЛЬНОЕ ОПУБЛИКОВАНИЕ
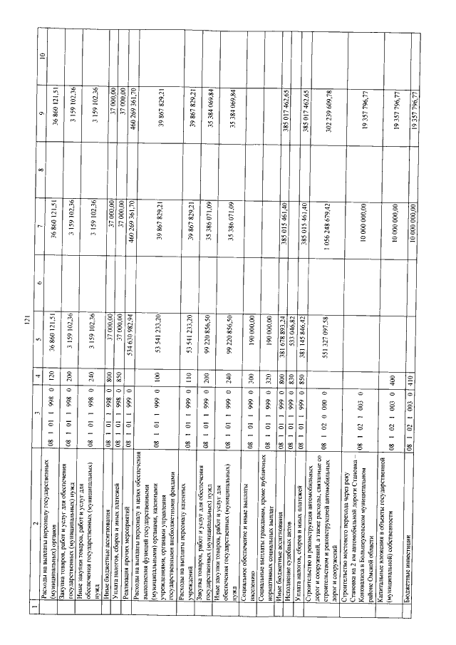
Закон Омской области от 12.07.2019 № 2177-ОЗ
"О внесении изменений в Закон Омской области "Об областном бюджете на 2019 год и на плановый период 2020 и 2021 годов"
Номер опубликования: 5500201907120001
Дата опубликования: 12.07.2019
Страница №560 из 665:
Увеличить