Официальное опубликование правовых актов
ОФИЦИАЛЬНОЕ ОПУБЛИКОВАНИЕ
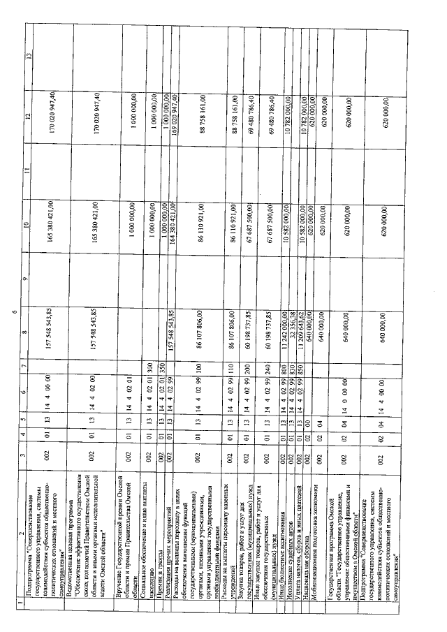
Закон Омской области от 17.07.2015 № 1781-ОЗ
"О внесении изменений в Закон Омской области "Об областном бюджете на 2015 год и на плановый период 2016 и 2017 годов"
Номер опубликования: 5500201507200001
Дата опубликования: 20.07.2015
Страница №42 из 587:
Увеличить