Официальное опубликование правовых актов
ОФИЦИАЛЬНОЕ ОПУБЛИКОВАНИЕ
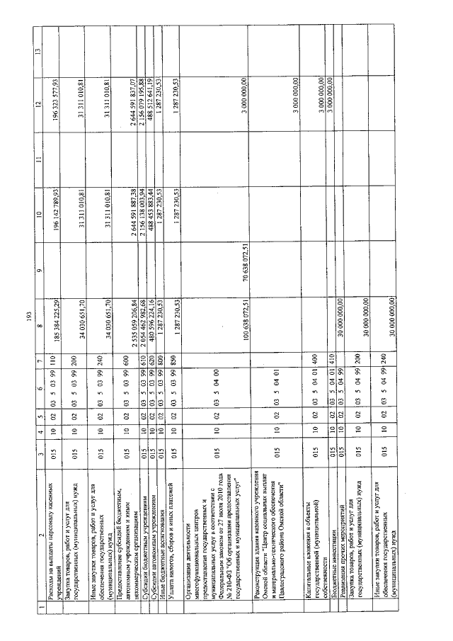
Закон Омской области от 18.06.2015 № 1761-ОЗ
"О внесении изменений в Закон Омской области "Об областном бюджете на 2015 год и на плановый период 2016 и 2017 годов"
Номер опубликования: 5500201506190006
Дата опубликования: 19.06.2015
Страница №268 из 673:
Увеличить