Официальное опубликование правовых актов
ОФИЦИАЛЬНОЕ ОПУБЛИКОВАНИЕ
Приказ Министерства строительства Новосибирской области от 05.02.2026 № 16-НПА
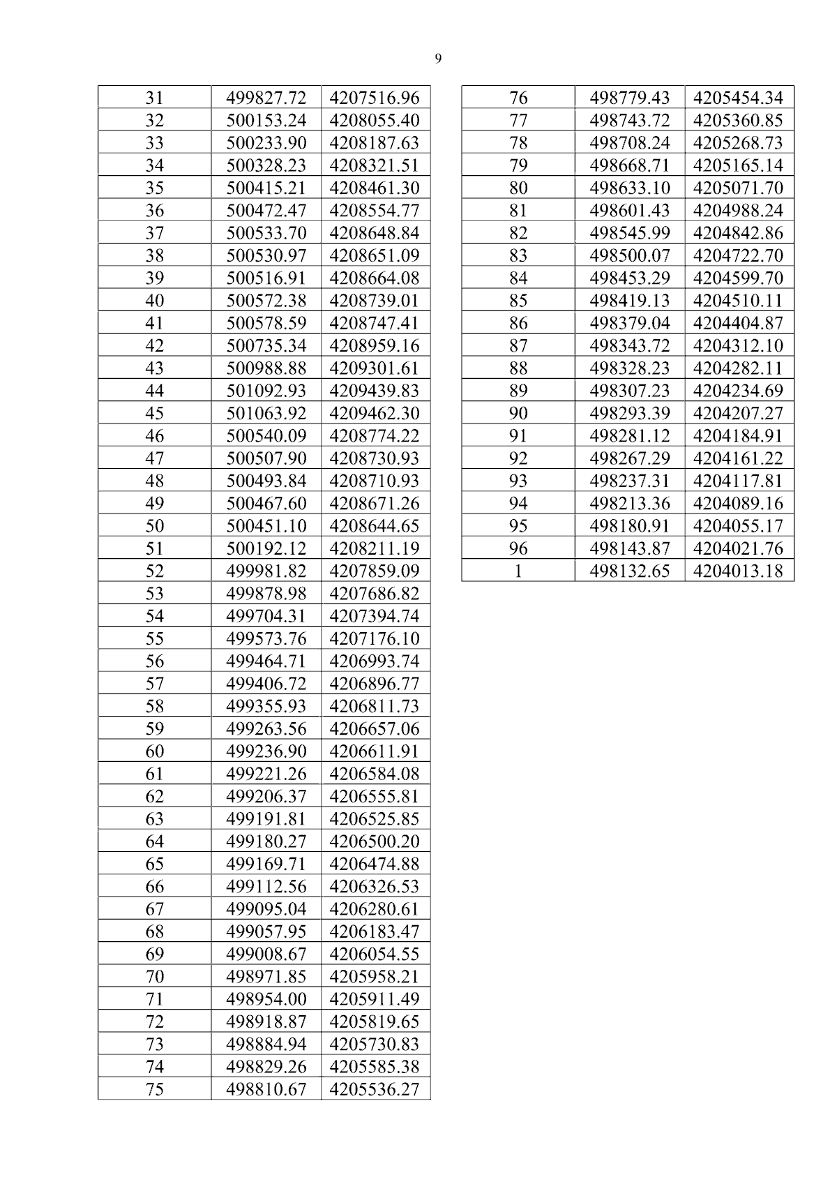
"Об утверждении проекта планировки территории для размещения объекта "Железнодорожные пути необщего пользования АО "Евросиб СПБ-ТС" с примыканием к железнодорожному пути общего пользования ОАО "РЖД" в границах Станционного сельсовета Новосибирского района Новосибирской области и проекта межевания территории в его составе"
(Зарегистрирован 05.02.2026 № 16-НПА)
Номер опубликования: 5401202602050005
Дата опубликования: 05.02.2026
Страница №11 из 36:
Увеличить