Официальное опубликование правовых актов
ОФИЦИАЛЬНОЕ ОПУБЛИКОВАНИЕ
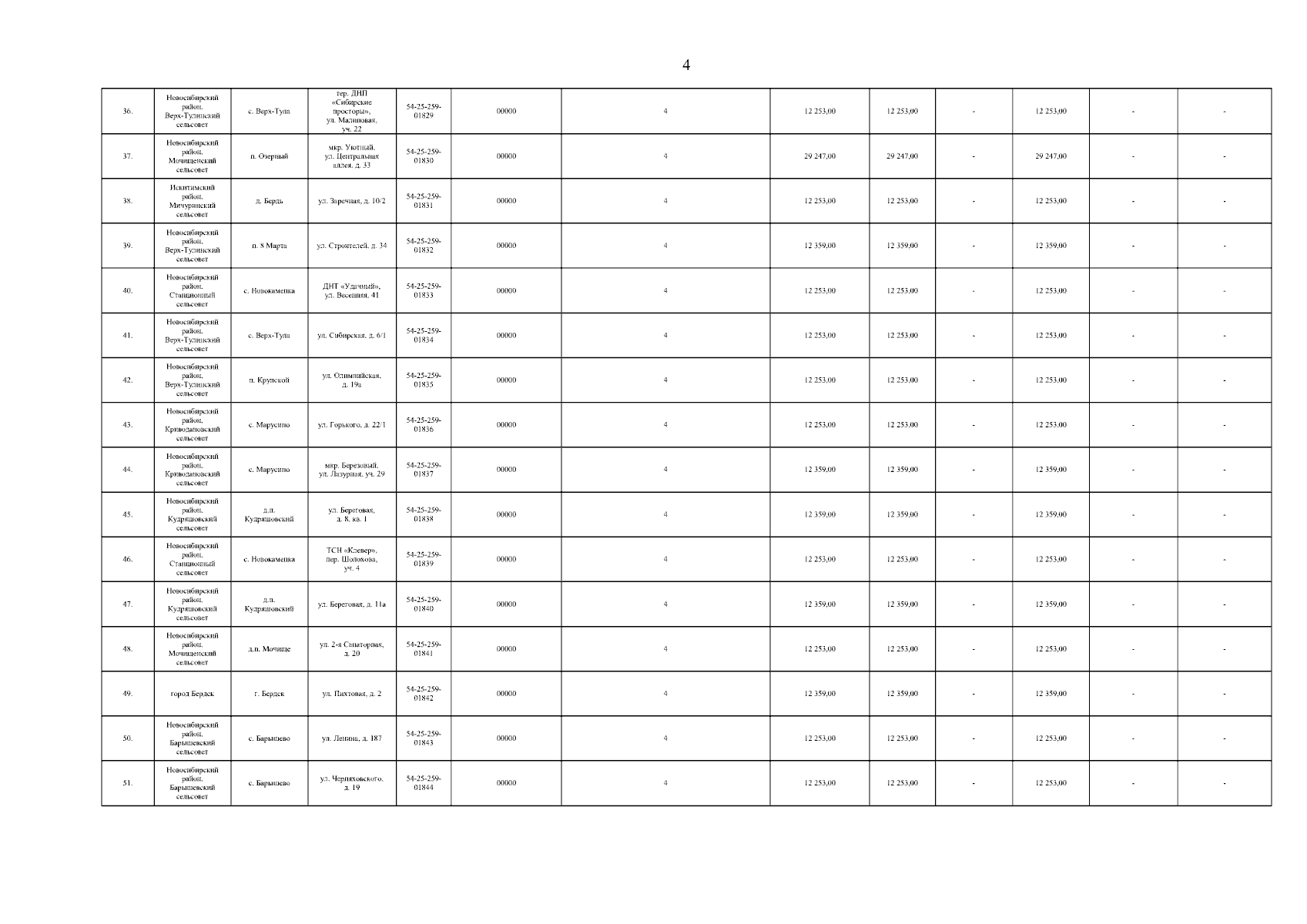
Приказ Департамента по тарифам Новосибирской области от 20.01.2026 № 1-Г/НПА
"Об утверждении размера экономически обоснованных расходов Общества с ограниченной ответственностью "Техногаз" на выполнение мероприятий по подключению (технологическому присоединению) газоиспользующего оборудования к газораспределительным сетям в рамках догазификации и в рамках догазификации котельных за ноябрь 2025 года"
(Зарегистрирован 20.01.2026 № 1-Г/НПА)
Номер опубликования: 5401202601280007
Дата опубликования: 28.01.2026
Страница №6 из 9:
Увеличить