Официальное опубликование правовых актов
ОФИЦИАЛЬНОЕ ОПУБЛИКОВАНИЕ
Приказ Министерства строительства Новосибирской области от 26.11.2025 № 163-НПА
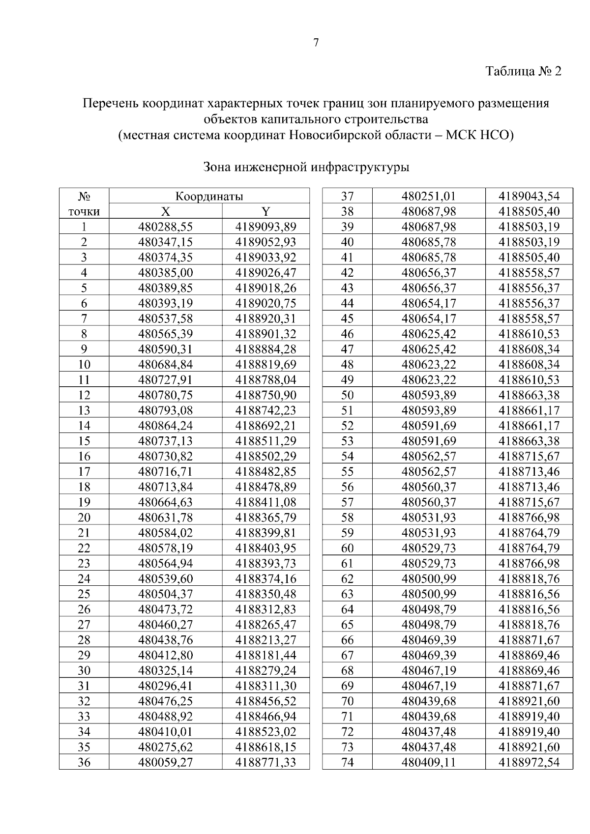
"Об утверждении проекта планировки территории для размещения объекта регионального значения: "Водозабор подземных вод на участке Обского месторождения" в границах Толмачевского сельсовета Новосибирского района Новосибирской области и проекта межевания территории в его составе"
(Зарегистрирован 26.11.2025 № 163-НПА)
Номер опубликования: 5401202511260002
Дата опубликования: 26.11.2025
Страница №10 из 18:
Увеличить